* 자료구조와 알고리즘의 관계는 의존적
메모리 할당
1. 메모리 할당의 개념
- 기본적 예제
- 연속적(Contiguous) : 배열
- 연결적(Linked) : 연결 리스트
2. 연속적 할당
- 하나의 배열로서 단일 연속적인 메모리 공간에 n객체가 저장됨
- 더 많은 메모리가 필요할 때에는 새로 메모리 공간을 요구하고 할당 받고, 이전 메모리의 모든 정보를 새 메모리에 복사해야 함.
- 일반적으로 OS에게 추가로 연속된 n객체의 공간할당을 받을 수 없음
ex) ABCD
3. 연결적 할당
- 두 데이터를 연결적으로 저장할 수 있도록 할당
- 객체 자기 자신 그리고 자신과 연결되어 있는 다음 아이템에 대한 참조로 구성
- C++ 객체에서의 노드란 다음 노드의 주소(Pointer)를 지칭함
ex) A→B→C→D
- 구현(Sescribing)
template <typename Type>
class Node
{
private:
Type element;
Node *next_node;
public:
// ...
};
- 필수적 연산 방법
[새로운 노드의 생성]
[노드의 값을 읽음]
[다음 포인터를 가져옴]
- 필수 항목
1) 연결 리스트는 반드시 첫 번째 객체를 가리키는 객체가 필요함
2) 실제로 연결 리스트 클래스는 머리(head)와 꼬리(tail), 두 포인터를 반드시 가지고 있어야 함
3) 선택적으로 노드의 개수(int count)를 가질 수 있다.
4) Next_node의 마지막 노드는 nullptr(널 포인트)로 저장

- 클래스의 구현
template <typename Type>
class List
{
private:
Node<Type> *head;
Node<Type> *tail;
int count;
public:
// constructor(s)...
// accessor(s)...
// mutator(s)...
};
4. 색인적 할당
- NULL을 포함하여 포인터의 배열이 할당된 메모리 공간을 가리킴
- C++ STL에서 사용
- 행렬로 표현할 수 있음

- 특징: 대부분 행렬은 단일로 연속된 메모리 공간을 가리키는 색인을 사용하여 구현할 수있음
다른 할당 형식
1. 다른 할당 형식의 예
- 그 외 다른 할당 형식 혹은 혼합된 형식

2. 트리(Tree)
- 연결 리스트는 선형적으로 정렬된 데이터에 이용할 수 있음
- 트리의 뿌리는 연결 리스트와 유사하지만 여러 개의 다음 포인트를 가짐
- 특징
1) 각 노드는 임의의 개수의 다음 노드를 가리킨다.
2) 계층적 데이터의 저장에 유용하다.
3) 정렬된 데이터의 저장에 유용하다.
4) 보통의 경우 다음 노드의 개수를 두 개 이하로 제한한다.
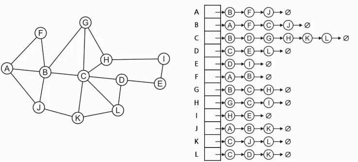
3. 그래프(Graph)
- 노드와 엣지로 구성이 된다.
4. 배열(Array)
- 한 컨테이너에서 두 객체 간의 임의의 관계를 허용한다고 가정했을 때,
- 이를 2차 배열을 이용하여 표현할 수 있다.
- 이 때 이 행렬은 대칭행렬이다.

5. 연결 리스트의 배열(Array of Linked Lists)
- 한 컨테이너에서 두 객체 간의 임의의 관계를 허용한다고 가정했을 때,
- 다른 방법으로 배열과 연결 리스트의 혼합 형식을 사용할 수 있다.

6. 연결 배열(Linked Array)
- 다른 혼합 형식의 배열의 연결 리스트가 있음
- 이는 C++ STL의 Dequeue 컨테이너로 사용됨
- 연결 배열의 예
* 영문자를 다음 중 하나로 저장
1) 26개 문자의 배열 혹은
2) 8개 문자의 배열의 연결 리스트

7 혼합 구조(Hybrid Structure)
- Unix의 Inode는 대용량의 파일 정보를 저장하는데 사용되었다.
- 다음 개체는 다음 1024 블록을 저장할 수 있는 배열을 참조한다.
- 32-bit 컴퓨터에서 최대 4MB 용량의 파일을 저장한다.

- 마지막 개체는 3단계의 최대 4TB 용량의 파일을 위한 간접참조로 쓰인다.

알고리즘의 효율성
1. 개요
- 실행 시간 효율
* 객체와 객체를 저장할 수 있는 자료구조가 정해지면 알고리즘으로서 다음과 같은 연산들이 필요함
[클래스로서의 추상 데이터 형]
[자료구조는 멤버 변수들로 정의]
[멤버 함수로 알고리즘을 구현]
Q) 알고리즘의 효율성을 어떻게 정의하는가?
- 연산 효율표
* 다음과 같은 행렬로 구조 내 공간의 연산을 묘사

* 정렬된 배열에 대한 효율표

# 탐색은 괜찮지만 삽입과 삭제는 비효율적
* 정렬이 되지 않은 배열에 대한 효율표

# 탐색이 비효율적으로 변함
* K번째 객체에 포인터를 갖고 있다면 임의의 위치에서 삽입과 삭제는 매우 효율적

* 이중 연결 리스트에서는 한 연산만이 보다 효율적

# 탐색의 이중적 방향
# 따라서 값이 비싸진다.
'자료구조&알고리즘' 카테고리의 다른 글
| 선형 리스트(Lenear List) 개요 (0) | 2022.02.14 |
|---|---|
| 알고리즘 분석 (0) | 2022.02.11 |
| 추상 데이터형 (0) | 2022.02.10 |
| 수학적 귀납법 (0) | 2022.02.10 |
| 자료구조를 위한 수학 (0) | 2022.02.09 |