기본적인 함수
1. 마루(Floor)와 천장(Ceil) 함수
- 마루 함수
어떤 실수 x 이하인 제일 큰 정수를 반환
ex)
3.2 = 3
-5.2 = -6
- 천장 함수
어떤 실수 x 이상인 제일 작은 정수를 반환
ex)
3.2 = 4
-5.2 = -5
2. 로그 함수
- f(n) = n½ = √n는 In(n)보다 항상 크다

- 로그와 지수 함수의 증가율 비교
o 지수 함수는 d > 0에서 그 어떤 비상수 다항식보다 빠르게 증가한다.

o 그러므로 지수 함수의 역함수인 로그 함수는 그 어떤 다항식보다 느리게 증가한다.

ex) f(n) = n½ = ²√n는 In(n)보다 항상 빠르게 증가한다.

ex) f(n) = n⅓ = ³√n은 n = 93까지만 In(n)보다 느리게 증가한다.

- 로그 함수의 표기, 종류, 구현
o 밑수 2 로그함수는 log2(n)이고, lb(b) 또는 lg(n)으로 표시할 수 있음.
o 자연로그 in(n)은 표준적으로 다움과 같이 구현 : double log(double);
o 상용 로그 함수 log10(n)은 다음과 같이 구현 : double log10(double);
- 로그 함수의 교환 정리 및 증명
o 로그 함수 작성 예시 : nlogb(m) = mlogb(n)
- 로그 함수 계산의 예
lg(2의 10승) = lg(1024) = 10
lg(2의 20승) = lg(1024) = 20
급수와 재귀 함수
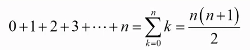
1. 급수 - 수열의 합
- 산술 급수
o 각 항의 상수 값만큼 증가

초기값 k부터 n값까지의 합
ex) n = 100이면, 100 * 101 / 2 = 5050이라는 결과 값
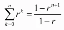
- 기타 급수

o 공식 일반화

o 정적분의 근사합 : 그래프의 어떤 영역을 연속적으로 구하는 공식

o 실제값과 근사값의 비는 n → ∞ 일 때 1로 수렴
"결론적으로 상대 오차는 0"
- 기하 급수
o 기하 급수는 상수값의 비율로 증감함

2. 재귀 함수
o 기하 함수의 정의 시 자기 자신을 다시 호출하는 함수
N! = 1 (When N=0)
N*(N-1)! (Otherwise)
ex)
3! = 3 * 2!
= 3 * 2 * 1!
= 3 * 2 * 1 * 0!
= 3 * 2 * 1 * 1!
= 3 * 2 * 1 = 6
- 재귀 함수의 활용
o 두 재귀적 함수들에 대하여

o 비재귀적으로 변환 필요

가중 평균 및 조합
1. 가중 평균
- 가중 평균(Weighted Averages)
o n개의 개체에 각각 서로 다른 가중치를 곱하여 평균을 낸 것
o 모든 가중치의 합은 1이 되어야 함
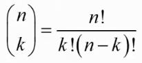
1. 조합
- 조합(Combination)이란?
o 주어진 서로 다른 n개의 개체에서 k개를 선택하는 방법의 가지 수
o 순서는 관계가 없음
- 조합의 예시
ex) 집합 {1, 2, 3, 4, 5}에서 3개의 원소를 선택하는 방법은?
함수 표현법으로 표기

※ n =5, k = 3, !은 팩토리얼
ex) n이 k를 선택한다고 읽고, 다음과 같이 재귀적으로 정의할 수 있음

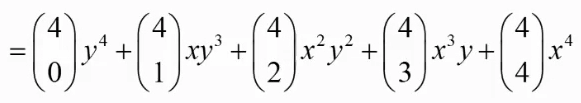
- 조합의 활용
o 다항식의 계수를 다음과 같이 계산할 수 있음

ex) n = 4


'자료구조&알고리즘' 카테고리의 다른 글
| 알고리즘 분석 (0) | 2022.02.11 | 
|---|---|
| 자료구조와 알고리즘 (0) | 2022.02.11 | 
| 추상 데이터형 (0) | 2022.02.10 | 
| 수학적 귀납법 (0) | 2022.02.10 | 
| 자료구조와 알고리즘의 이해 (0) | 2022.02.09 |